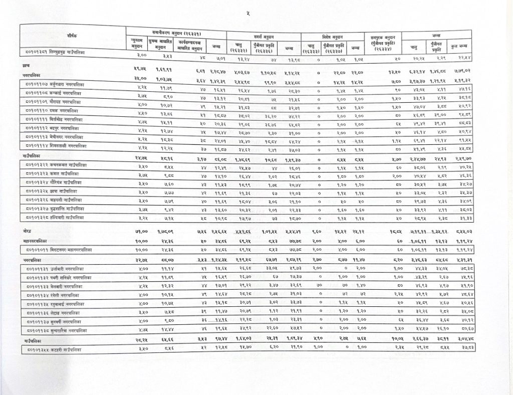
विर्तामोड । आर्थिक वर्ष २०८०र८१ को बजेटमा झापाका लागि ७ अर्ब ७९ करोड २ लाख रुपैयाँ बिनियोजन भएको छ ।
सरकारले संघीय संसदको संयुक्त बैठकमा प्रस्तुत गरेको बजेटबाट झापाका ८ नगरपालिका र ७ गाउँपालिकाका लागि उक्त रकम विनियोजन भएको हो ।
बजेटमा सबैभन्दा बढी झापाको दमक नगरपालिकाका लागि ९५ करोड ८९ लाख विनियोजन गरिएको छ । यो पूर्वप्रधानमन्त्री एवम् नेकपा एमालेका अध्यक्ष केपी शर्मा ओलीको गृह नगर हो।
यस्तै दोस्रो धेरै बजेट मेची नगर नगरपालिकाका लागि ९१ करोड ५५ लाख रुपैयाँ, विर्तामोड नगरपालिकाका लागि ८८ करोड ८३ लाख रुपैयाँ बजेट बिनियोजन भएको छ ।
यस्तै गौरादह नगरपालिकाका लागि ५० करोड ९४ लाख , शिवसताक्षी नगरपालिकाका लागि ५५ करोड ८५ लाख , भद्रपुर नगरपालिकाका लागि ५० करोड ९४ लाख , अर्जुनधारा नगरपालिकाका लागि ४७ करोड १६ लाख रुपैयाँ बजेट विनियोजन भएको छ । नगरपालिका मध्ये सबैभन्दा कम कन्काई नगरपालिकाका लागि ३८ करोड १८ लाख विनियोजन भएको छ ।
यस्तै गाउँपालिकाहरुमा कमल गाउँपालिकाका लागि ४६ करोड ३६ लाख, कचनकबल गाउँपालिकाका लागि ४० करोड २५ लाख। बुद्धशान्ति गाउँपालिकाका लागि ३८ करोड तीन लाख, झापा गाउँपालिकाका लागि ३५ करोड ३७ लाख र हल्दिबारी ३१ करोड ३३ लाख रुपैयाँ विनियोजन भएको छ।
बाह्रदशी गाउँपालिकाका लागि ३४ करोड ९ लाख रूपैयाँ बिनियोजन भएको छ भने गौरीगञ्ज गाउँपालिकाका लागि ३४ करोड २७ लाख विनियोजन भएको छ।

